1 逻辑计算与布尔代数¶
选择逻辑计算的原因:
- 不存在进位,可以用硬件实现
- 通过一定方法实现算数计算
1.1 逻辑计算¶
1.1.1 相关概念¶
二元变量:无论是 True or False,还是 0/1, 均采用0和1代表两个值
逻辑运算符:与或非
- 与(AND):用 \(\cdot\) 来表示
- 或(OR):用 \(+\) 来表示
- 非(NOT):用 \(\overline X\) / \(X'\) / \(\sim\) 来表示
1.1.2 硬件表示(逻辑门)¶
常见的逻辑门¶
现在使用的是晶体管,与、或、非对应的逻辑电路门的符号:
还有其他常见的逻辑符号:与非,异或,或非,异或非
逻辑门的分类¶
(1)Basic logic gates(基础逻辑门):与、或、非,选择这个的原因(相比第二个):代数性质比较好
(2)Universal logic gates(通用门):一个门电路可以表示所有布尔函数:与非门,或非门
(3)Other logic gates
门延时(Gate delay)¶
导线等传输会有实际上的损失,The delay between an input change(s) and the resulting output change is the gate delay,被记为 \(t_G\)
1.1.3 逻辑计算的表达¶
真值表(唯一)、波形图(唯一)、逻辑等式、逻辑图表。
Note
这里唯一的意思是一个逻辑计算的表示方式唯一。
1.2 布尔代数¶
1.2.1 基本运算规律¶
布尔代数的运算律
| Identity | Expression |
|---|---|
| Identity Law | \(X + 0 = X\) |
| \(X \cdot 1 = X\) | |
| Null Law | \(X + 1 = 1\) |
| \(X \cdot 0 = 0\) | |
| Idempotent Law | \(X + X = X\) |
| \(X \cdot X = X\) | |
| Complement Law | \(X + \overline{X} = 1\) |
| \(X \cdot \overline{X} = 0\) | |
| Double Negation Law | \(\overline{\overline{X}} = X\) |
| Commutative Law | \(X + Y = Y + X\) |
| \(XY = YX\) | |
| Associative Law | \((X + Y) + Z = X + (Y + Z)\) |
| \((XY)Z = X(YZ)\) | |
| Distributive Law | \(X(Y + Z) = XY + XZ\) |
| \(X + YZ = (X + Y)(X + Z)\) | |
| DeMorgan's Law | \(\overline{X + Y} = \overline{X} \cdot \overline{Y}\) |
| \(\overline{X \cdot Y} = \overline{X} + \overline{Y}\) |
优先级:括号、非与或
1.2.2 对偶关系¶
代数变化的对偶表达:
- 将AND与OR交换
- 将0和1交换
- 并保证运算顺序不变
| 原式 (F) | 对偶式 (dual F) |
|---|---|
| \(F = (A + \overline{C}) \cdot B + 0\) | \(F = (A \cdot \overline{C} + B) \cdot 1 = A \cdot \overline{C} + B\) |
| \(G = X \cdot Y + (\overline{W + Z})\) | \(G = (X + Y) \cdot (\overline{W \cdot Z})\) |
| \(H = A \cdot B + A \cdot C + B \cdot C\) | \(H = (A + B) \cdot (A + C) \cdot (B + C)\) |
自对偶:对偶形式与原来的形式相同
就是一个自对偶式子
对偶的性质:F与G等价,则F'与G'亦等价
1.2.3 反函数¶
For logic function F, the inverse function of the original function is obtained by:
-
interchanging AND (+) and OR (·)
-
complementing each constant value and literal
或者直接去反,利用DeMorgan定律进行展开
Example
1.2.4 恒等式的证明¶
DeMorgan定理的证明
-
To show this we need to show that \(A + \overline{A} = 1\) and \(A \cdot \overline{A} = 0\) with \(A = X + Y\) and \(\overline{A} = \overline{X} \cdot \overline{Y}\). This proves that \(\overline{X + Y} = \overline{X} \cdot \overline{Y}\).
-
Part 1: Show \(X + Y + \overline{X} \cdot \overline{Y} = 1\)
-
Part 2: Show \((X + Y) \cdot (\overline{X} \cdot \overline{Y}) = 0\)
或者我们可以直接使用真值表来证明
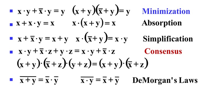
Consensus 的证明
1.3 Canonical Forms (规范形式)¶
1.3.1 相关概念¶
It is useful to specify Boolean functions in a form that:
-
has a correspondence to the truth tables 与真值表紧密相连
-
allows comparison for equality 可以比较等价性
-
provides a starting point for optimization 给优化提供了起点
两种最为常见的规范形式
-
SOM (sum of min-terms): AND terms 用与连接
-
POM (product of max-terms): OR terms 用或连接
1.3.2 最大项与最小项¶
index编号区别:最大项与最小项相反
最大项与最小项的关系:\(M_i=\overline m_i\) 和 \(m_i=\overline M_i\)
SOM:就是取1的那些项的最小项
POM:就是取0的那些项的最大项
1.3.3 求解SOM与POM的方法¶
这里的求解方法是指的是从一般的式子来,并不是从真值得来
补全最小项的方法:列项(把缺的部分列项,然后运用分配律,然后把重复的去掉
补全最大项的方法:分配律,加项然后迭代
规范项的反函数
- SOM,取0的最小项
- POM,取1的最大项
SOM与POM的转换:\(\sum_m (1,3,5,7) \Rightarrow \prod_M(0,2,4,6)\)
1.3.4 Standard Forms¶
SOP (sum of products) 与 POS (product of sums)
标准形式允许项里面存在缺项,比如说
标准形式还能继续优化成非标准形式(既不是 SOP 也不是 POS 的混合形式),比如说
一个通过规范形式简化的例子
\(F(A, B, C) = Σm(1, 4, 5, 6, 7)\)
Writing the minterm expression:
Simplifying:
Simplified F contains 3 literals compared to 15 in minterm F









